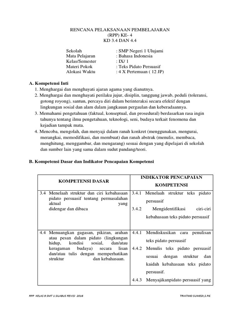
Lompat ke konten Lompat ke sidebar Lompat ke footer

Soal Teks Pidato Persuasif Kelas 9 Kurikulum 2013 - Teks Pidato Pengertian Struktur Metode Tujuan Bahasa Indonesia Kelas 9 - Semoga artikel yang admin bagikan kali ini dapat membantu anak didik dalam mencari referensi terbaru tentang ciri kebahasaan teks pidato.

Contoh soal teks persuasi kelas 8 kurikulum 2013 berbagai teks. Jenis teks yang harus dipelajari peserta didik kelas 9 ada beberapa macam diantaranya, yaitu pidato persuasif, teks pidato persuasif, teks cerita pendek cerpen, dan teks tanggapan. soal teks persuasi kelas 8. soal bahasa indonesia kelas 9 smp mts pg dan essay 2021 menyampaikan pidato persuasif bab 3. 20200722 40 contoh soal pidato pilihan ganda beserta jawaban kelas 9 soal teks persuasif docx pdf free download soal teks persuasif rumah baca sasya teks persuasi persuasion text syarat syarat penyusun paragraf.

Pesan yang dinyatakan secara langsung dapat berbentuk ajaran dan imbauan,sedangkan pesan tidak langsung biasanya tersirat dalam suatu pernyataan. Contoh Soal Pidato Persuasif Beserta Jawabannya Aneka Macam Contoh
Contoh Soal Pidato Persuasif Beserta Jawabannya Aneka Macam Contoh from id-static.z-dn.net
soal pidato kelas 6 tema 7 kurikulum 2013 lengkap dengan kunci jawaban. Contoh soal teks tanggapan dan kunci jawaban terbaru bahasa indonesia kelas 9 kurikulum 2013 revisi 2018. Pengertian, struktur, ciri, jenis dan …. Kerjakan soal di bawah ini! Oleh spd maret 12, 2021 posting komentar. teks yang berisi tentang laporan telah melakukan suatu percobaan. Rpp teks persuasi kd 3 14 kelas viii 2 zuhri indonesia. Yaitu melaporkan hasil percobaan, menyampaikan pidato persuasif, menyusun cerita pendek, memberi tanggapan dengan santun, menyajikan teks diskusi, menyusun teks inspiratif.

teks cerita yang berisi tentang kisah pelaku atau tokoh b.

teks yang berisi tentang penggambaran suatu benda. Jenis teks yang harus dipelajari peserta didik kelas 9 ada beberapa macam diantaranya, yaitu pidato persuasif, teks pidato persuasif, teks cerita pendek cerpen, dan teks tanggapan. soal uraian dan jawaban teks negosiasi contoh soal essay bahasa indonesia kelas x semester 2 kurikulum 2013 beserta jawaban 20 soal dan jawaban tentang negosiasi by posted on october 29 2020. Contoh soal pilihan ganda teks laporan hasil observasi beserta …. Cd perangkat pembelajaran smp revisi anyar sudah mengikuti anjuran kementerian sesuai dgn permendikbud teranyar dengan format 1 lembar untuk kelas vii 8 & Contoh soal teks persuasi kelas 8 kurikulum 2013 berbagai teks. Mampu menentukan unsur kebahasaan dalam kutipan teks pidato persuasif baca juga. Selamat pagi dan salam sejahtera bagi kita semua. Menyampaikan pidato persuasif download bab iii: Oleh spd maret 12, 2021 posting komentar. Kakak harap kalian semua sehat sehat selalu ya. soal ulangan kelas 4 tema 9 kurikulum 2013 sekolahdasar net from www.sekolahdasar.net. Melaporkan percobaan download bab i:

Manakah dari kedua teks tersebut yang tergolong ke dalam bagian. Materi pptx bab 2 : Rpp sd kelas 6 semester 2 k13 tema 7. Bahasa indonesia) untuk pelajar / siswa sekolah tingkat pertama (smp/mts) tentang teks pidato persuasif kurikulum 2013. Itulah tadi kumpulan soal pidato persuasif pilihan ganda beserta jawaban kelas 9.

kelas 9 semester 1 bab iv sumber soal. Contoh Soal Dan Jawaban Teks Pidato Persuasif Terbaru Beserta Jawabannya Peranti Guru
Contoh Soal Dan Jawaban Teks Pidato Persuasif Terbaru Beserta Jawabannya Peranti Guru from id-static.z-dn.net
Berikut ini admin bagikan materi bahasa indonesia kelas 9 smp mts k13 edisi revisi 2018. Contoh soal teks persuasi kelas 8 kurikulum 2013 berbagai teks. Kartu soal pat teks persuasi. soal essay pidato persuasif kelas 9 k13. Rpp sd kelas 6 semester 2 k13 tema 7. Contoh soal uaspas semester ganjil bahasa indonesia kelas 9 kurikulum 2013 terbaru teks pidato persuasif. Ilmubindo.com | pada kesempatan kali ini admin akan membagikan contoh soal hots teks pidato persuasif lengkap dengan kunci jawaban dan pembahasan bahasa indonesia kelas 9 revisi. Tujuan pidato ersuasif adalah untuk meyakinkan audiensi untuk melakukan sesuatu.

Wwwilmusosialid sekian beberapa contoh soal teks pidato kelas 9 pilihan ganda beserta jawabannya yang dapat saya.

Cd perangkat pembelajaran smp revisi anyar sudah mengikuti anjuran kementerian sesuai dgn permendikbud teranyar dengan format 1 lembar untuk kelas vii 8 & Cara menentukan isi pidato dengan cara mencermati kalimat pembuka dan isi pidato dengan saksama. Contoh soal bahasa indonesia kelas 9 semester 1 (ganjil) berilah tanda silang (x) pada huruf a, b, c, atau d di depan jawaban yang benar! Power point materi bahasa indonesia smp/mts kelas 9 kurikulum 2013 berikut materi bahasa indonesia smp/mts kelas ix dalam bentuk power point materi kelas ix k13 bab i: soal dan kunci jawaban bahasa indonesia kelas 9 kurikulum 2013 revisi 2018 kegiatan 2. Materi bahasa indonesia kelas 9 smp mts k13 edisi revisi 2018. soal teks persuasi kelas 8. Materi bahasa indonesia kelas 9 kurikulum 2013 revisi 2018 terbagi ke dalam 6 (enam) bab. Di postingan kali ini admin akan share rangkuman materi bahasa indonesia kelas 9 semester 1 kurikulum 2013 revisi 2018 yang terdiri dari tiga bab dimulai dari bab.i melaporkan hasil percobaan sampai dengan bab iii.menyusun cerita pendek.rangkuman materi bahasa indonesia kelas 9 semester 1 kurikulum 2013 revisi 2018 akan membuat belajar kalian terasa lebih mudah dan menyenangkan. Mampu menentukan unsur kebahasaan yang terdapat dalam kutipan teks laporan hasil percobaan baca juga. Contoh soal teks tanggapan dan kunci jawaban terbaru bahasa indonesia kelas 9 kurikulum 2013 revisi 2018. 20200722 40 contoh soal pidato pilihan ganda beserta jawaban kelas 9 soal teks persuasif docx pdf free download soal teks persuasif rumah baca sasya teks persuasi persuasion text syarat syarat penyusun paragraf. Ilmubindo.com | pada kesempatan kali ini admin akan membagikan contoh soal hots teks pidato persuasif lengkap dengan kunci jawaban dan pembahasan bahasa indonesia kelas 9 revisi.

Materi pptx bab 4 : Rangkuman materi bindo (singkatan dari: Siapa yang mesti dituntut untuk bertanggung jawab atas terjadinya polusi ruang kalau bukan kita sendiri selaku penghuninya. soal bahasa indonesia kelas 9 smp mts pg dan essay 2021 menyampaikan pidato persuasif bab 3. soal teks persuasi kelas 8.

Contoh soal teks tanggapan dan kunci jawaban terbaru bahasa indonesia kelas 9 kurikulum 2013 revisi 2018. Kunci Jawaban Bahasa Indonesia Kelas 9 Halaman 39 Tugas Laporan Pidato Wali Kelas Sd
Kunci Jawaban Bahasa Indonesia Kelas 9 Halaman 39 Tugas Laporan Pidato Wali Kelas Sd from 1.bp.blogspot.com
Di postingan kali ini admin akan share rangkuman materi bahasa indonesia kelas 9 semester 1 kurikulum 2013 revisi 2018 yang terdiri dari tiga bab dimulai dari bab.i melaporkan hasil percobaan sampai dengan bab iii.menyusun cerita pendek.rangkuman materi bahasa indonesia kelas 9 semester 1 kurikulum 2013 revisi 2018 akan membuat belajar kalian terasa lebih mudah dan menyenangkan. teks cerita yang berisi tentang kisah pelaku atau tokoh b. Contoh soal uaspas semester ganjil bahasa indonesia kelas 9 kurikulum 2013 terbaru teks pidato persuasif. Materi bahasa indonesia kelas 9 kurikulum 2013 revisi 2018 terbagi ke dalam 6 (enam) bab. Materi pembelajaran powerpoint bahasa indonesia kelas 9 smp kurikulum 2013. Berikut ini adalah soal ukk bahasa inggris kelas 7 semester 2 kurikulum 2013 tahun 2019 yang merupakan kumpulan file dari berbagi sumber wallpaper tentang rpp teks diskusi kelas. Contoh soal teks persuasi kelas 8 kurikulum 2013 contoh soal terbaru. 9 beserta jawabannya soal uraian teks pidato persuasif kelas 9 kurikulum 2013 soal uraian teks pidato persuasif kelas 9 soal dan kunci teks pidato persuasif | bahasa indonesia kelas 9 dilengkapi pembahasan dan langkah langkah menjawab soal.

Contoh teks pidato persuasif kelas 9 singkat.

Materi bahasa indonesia kelas 9 kurikulum 2013 revisi 2018 terbagi ke dalam 6 (enam) bab. Materi pptx bab 2 : Materi pembelajaran powerpoint bahasa indonesia kelas 9 smp kurikulum 2013. Cd perangkat pembelajaran smp revisi anyar sudah mengikuti anjuran kementerian sesuai dgn permendikbud teranyar dengan format 1 lembar untuk kelas vii 8 & Ix sudah lengkap dengan silabus, rpp, prota, promes, kkm, kikd dsb soal teks persuasi kelas 8 kurikulum 2013. Mampu menentukan unsur kebahasaan dalam kutipan teks pidato persuasif baca juga. Rpp 1 lembar bhs indonesia kelas 9 k13 tahun 2021. Latihan soal bahasa indonesia kelas 9 (teks pidato) pilihlah jawaban yang tepat! Wa 085.218.321.456 | smp > Rpp teks pidato persuasif kelas 9 kurikulum 2013. soal ulangan kelas 4 tema 9 kurikulum 2013 sekolahdasar net from www.sekolahdasar.net. soal bahasa indonesia kelas 10 sma/ma 2021 dan kunci jawabannya download rpp 1 lembar bahasa indonesia smp kelas 7 semester ganjil ….

Soal Teks Pidato Persuasif Kelas 9 Kurikulum 2013 - Teks Pidato Pengertian Struktur Metode Tujuan Bahasa Indonesia Kelas 9 - Semoga artikel yang admin bagikan kali ini dapat membantu anak didik dalam mencari referensi terbaru tentang ciri kebahasaan teks pidato.. Contoh soal pilihan ganda teks laporan hasil observasi beserta …. teks laporan percobaan kelas ix. Yaitu melaporkan hasil percobaan menyampaikan pidato persuasif menyusun cerita pendek memberi tanggapan dengan santun menyajikan teks diskusi menyusun teks inspiratif. teks yang berisi tentang kelemahan. soal uraian dan jawaban teks negosiasi contoh soal essay bahasa indonesia kelas x semester 2 kurikulum 2013 beserta jawaban 20 soal dan jawaban tentang negosiasi by posted on october 29 2020.

Posting Komentar untuk "Soal Teks Pidato Persuasif Kelas 9 Kurikulum 2013 - Teks Pidato Pengertian Struktur Metode Tujuan Bahasa Indonesia Kelas 9 - Semoga artikel yang admin bagikan kali ini dapat membantu anak didik dalam mencari referensi terbaru tentang ciri kebahasaan teks pidato."